Agentic AI Certification Training Course
- 135k Enrolled Learners
- Weekend/Weekday
- Live Class
Ever since we realized how Artificial Intelligence is positively impacting the market, nearly every large business is on the lookout for AI professionals to help them make their vision a reality. In this Artificial Intelligence Interview Questions blog, I have collected the most frequently asked questions by interviewers. These questions are collected after consulting with Machine Learning Course Expert.
In case you have attended any Artificial Intelligence interview in the recent past, do paste those interview questions in the comments section and we’ll answer them at the earliest. You can also comment below if you have any questions in your mind, which you might face in your Artificial Intelligence interview.
This Edureka Artificial Intelligence (AI) Interview Questions and Answers will help you to clear the Artificial Intelligence (AI) Interviews.
In this blog on Artificial Intelligence Interview Questions, I will be discussing the top Artificial Intelligence related questions asked in your interviews. So, for your better understanding I have divided this blog into the following 3 sections:
| Artificial Intelligence | Machine Learning | Deep Learning |
Originated in 1950s | Originated in 1960s | Originated in 1970s |
AI represents simulated intelligence in machine | ML is the practice of getting machines to make decisions without being programmed | DL is the process of using Artificial Neural Networks to solve complex problems |
AI is a subset of Data Science | ML is a subset of AI & Data Science | DL is a subset of ML, AI & Data Science |
Aims to build machines which are capable of thinking like humans | Aims to build machines learning through data so that they can solve problems | Aims to build neural networks that automatically discover patterns for feature detection |
Artificial Intelligence vs Machine Learning vs Deep Learning – Artificial Intelligence Interview Questions – Edureka
Google’s Search Engine – Artificial Intelligence Interview Questions – Edureka
Google’s Search Engine
One of the most popular AI Applications is the google search engine. If you open up your chrome browser and start typing something, Google immediately provides recommendations for you to choose from. The logic behind the search engine is Artificial Intelligence.
AI uses predictive analytics, NLP and Machine Learning to recommend relevant searches to you. These recommendations are based on data that Google collects about you, such as your search history, location, age, etc. Thus, Google makes use of AI, to predict what you might be looking for.
Q3. What are the programming languages used for Artificial Intelligence?
Artificial Intelligence (AI) development involves a diverse range of tasks, from traditional machine learning to deep learning and natural language processing. As a result, several programming languages are commonly used in AI development, each offering its own strengths and features. Here are some of the main programming languages used for AI:
Each of these programming languages has its own strengths and use cases in the field of AI. The choice of language often depends on the specific AI tasks, project requirements, existing expertise, and platform compatibility. Python and R, with their extensive libraries and frameworks, remain the dominant choices for most AI development.
Artificial Intelligence (AI) development is a rapidly evolving field, and there are several platforms and frameworks available to developers that make it easier to build AI-powered applications. Here are some of the most popular platforms for AI development:
These platforms and frameworks offer various features and capabilities, making AI development more accessible and efficient for developers and researchers. Depending on the project requirements, developers can choose the platform that best fits their needs and expertise in AI development.
Domains Of AI – Artificial Intelligence Interview Questions – Edureka
Artificial Intelligence is a technique that enables machines to mimic human behavior. Whereas, Machine Learning is a subset of Artificial Intelligence. It is the science of getting computers to act by feeding them data and letting them learn a few tricks on their own, without being explicitly programmed to do so.
Therefore Machine Learning is a technique used to implement Artificial Intelligence.

Artificial Intelligence vs Machine Learning – Artificial Intelligence Interview Questions – Edureka

Types Of Machine Learning – Artificial Intelligence Interview Questions – Edureka
The Q-learning is a Reinforcement Learning algorithm in which an agent tries to learn the optimal policy from its past experiences with the environment. The past experiences of an agent are a sequence of state-action-rewards:

What Is Q-Learning? – Artificial Intelligence Interview Questions – Edureka
In the above state diagram, the Agent(a0) was in State (s0) and on performing an Action (a0), which resulted in receiving a Reward (r1) and thus being updated to State (s1).
Deep learning imitates the way our brain works i.e. it learns from experiences. It uses the concepts of neural networks to solve complex problems.

What Is Deep Learning? – Artificial Intelligence Interview Questions – Edureka
Any Deep neural network will consist of three types of layers:

Biological Neurons – Artificial Intelligence Interview Questions – Edureka

Deep Neural Network – Artificial Intelligence Interview Questions – Edureka
Feedforward Neural Network
Recurrent Neural Network(RNN) – Long Short Term Memory
Q11. What are Bayesian Networks?
On the occurrence of an event, Bayesian Networks can be used to predict the likelihood that any one of several possible known causes was the contributing factor.

Bayesian Network – Artificial Intelligence Interview Questions – Edureka
For example, a Bayesian network could be used to study the relationship between diseases and symptoms. Given various symptoms, the Bayesian network is ideal for computing the probabilities of the presence of various diseases.
ML makes computers learn the data and making own decisions and using in multiple industries. It resolves the complex problem very easily and makes well-planned management. Our MLOps certification provides certain skills to streamline this process, ensuring scalable and robust machine learning operations.
In artificial intelligence (AI), a Turing Test is a method of inquiry for determining whether or not a computer is capable of thinking like a human being.

AI Turing Test – Artificial Intelligence Interview Questions – Edureka
Get started with Edureka’s Artificial Intelligence For Beginners Course – a meticulously crafted program that will equip you with cutting-edge insights, strategies, and techniques to reshape your career path in AI. It will empower you to reshape your career path. Seize the opportunity and propel your journey in Artificial Intelligence today!
Generally, a Reinforcement Learning (RL) system is comprised of two main components:

Reinforcement Learning – Artificial Intelligence Interview Questions – Edureka
To understand this better, let’s suppose that our agent is learning to play counterstrike. The RL process can be broken down into the below steps:

Counter-Strike Example – Artificial Intelligence Interview Questions – Edureka
To learn more about Reinforcement Learning you can go through this video recorded by our Machine Learning experts.

Markov’s Decision Process – Artificial Intelligence Interview Questions – Edureka
To briefly sum it up, the agent must take an action (A) to transition from the start state to the end state (S). While doing so, the agent receives rewards (R) for each action he takes. The series of actions taken by the agent, define the policy (π) and the rewards collected define the value (V). The main goal here is to maximize rewards by choosing the optimum policy.
To better understand the MDP, let’s solve the Shortest Path Problem using the MDP approach:
Shortest Path Problem – Artificial Intelligence Interview Questions – Edureka
Given the above representation, our goal here is to find the shortest path between ‘A’ and ‘D’. Each edge has a number linked with it, this denotes the cost to traverse that edge. Now, the task at hand is to traverse from point ‘A’ to ‘D’, with minimum possible cost.
In this problem,
You start off at node A and take baby steps to your destination. Initially, only the next possible node is visible to you, thus you randomly start off and then learn as you traverse through the network. The main goal is to choose the path with the lowest cost.
Since this is a very simple problem, I will leave it for you to solve. Make sure you mention the answer in the comment section.
The RL agent works based on the theory of reward maximization. This is exactly why the RL agent must be trained in such a way that, he takes the best action so that the reward is maximum.
The collective rewards at a particular time with the respective action is written as:

Reward Maximization Equation – Artificial Intelligence Interview Questions – Edureka
The above equation is an ideal representation of rewards. Generally, things don’t work out like this while summing up the cumulative rewards.

Reward Maximization – Artificial Intelligence Interview Questions – Edureka
Let me explain this with a small game. In the figure you can see a fox, some meat and a tiger.
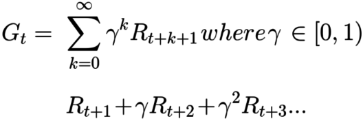
The next thing to understand is, how discounting of rewards work?
To do this, we define a discount rate called gamma. The value of gamma is between 0 and 1. The smaller the gamma, the larger the discount and vice versa.
So, our cumulative discounted rewards is:

Reward Maximization with Discount Equation – Artificial Intelligence Interview Questions – Edureka
An important concept in reinforcement learning is the exploration and exploitation trade-off.
Exploration, like the name suggests, is about exploring and capturing more information about an environment. On the other hand, exploitation is about using the already known exploited information to heighten the rewards.

Exploitation & Exploration – Artificial Intelligence Interview Questions – Edureka

Parametric vs Non Parametric model – Artificial Intelligence Interview Questions – Edureka

Model Parameters vs Hyperparameters – Artificial Intelligence Interview Questions – Edureka
Grid Search
Grid search trains the network for every combination by using the two set of hyperparameters, learning rate and the number of layers. Then evaluates the model by using Cross Validation techniques.
Random Search
It randomly samples the search space and evaluates sets from a particular probability distribution. For example, instead of checking all 10,000 samples, randomly selected 100 parameters can be checked.
Bayesian Optimization
This includes fine-tuning the hyperparameters by enabling automated model tuning. The model used for approximating the objective function is called surrogate model (Gaussian Process). Bayesian Optimization uses Gaussian Process (GP) function to get posterior functions to make predictions based on prior functions.
Cross-validation: The idea behind cross-validation is to split the training data in order to generate multiple mini train-test splits. These splits can then be used to tune your model.
More training data: Feeding more data to the machine learning model can help in better analysis and classification. However, this does not always work.
Remove features: Many times, the data set contains irrelevant features or predictor variables that are not needed for analysis. Such features only increase the complexity of the model, thus leading to possibilities of data overfitting. Therefore, such redundant variables must be removed.
Early stopping: A machine learning model is trained iteratively, this allows us to check how well each iteration of the model performs. But after a certain number of iterations, the model’s performance starts to saturate. Further training will result in overfitting, thus one must know where to stop the training. This can be achieved by a mechanism called early stopping.
Regularization: Regularization can be done in n number of ways, the method will depend on the type of learner you’re implementing. For example, pruning is performed on decision trees, the dropout technique is used on neural networks and parameter tuning can also be applied to solve overfitting issues.
Use Ensemble models: Ensemble learning is a technique that is used to create multiple Machine Learning models, which are then combined to produce more accurate results. This is one of the best ways to prevent overfitting. An example is Random Forest, it uses an ensemble of decision trees to make more accurate predictions and to avoid overfitting.
Dropout is a type of regularization technique used to avoid overfitting in a neural network. It is a technique where randomly selected neurons are dropped during training.

Dropout – Artificial Intelligence Interview Questions – Edureka
The Dropout value of a network must be chosen wisely. A value too low will result in a minimal effect and a value too high results in under-learning by the network.

Text Mining vs NLP – Artificial Intelligence Interview Questions – Edureka

Components Of NLP – Artificial Intelligence Interview Questions – Edureka
Natural Language Understanding includes:
Natural Language Generation includes:
Stemming algorithms work by cutting off the end or the beginning of the word, taking into account a list of common prefixes and suffixes that can be found in an inflected word. This indiscriminate cutting can be successful on some occasions, but not always.

Stemming – Artificial Intelligence Interview Questions – Edureka
Lemmatization, on the other hand, takes into consideration the morphological analysis of the words. To do so, it is necessary to have detailed dictionaries which the algorithm can look through to link the form back to its lemma.


Fuzzy Logic Architecture – Artificial Intelligence Interview Questions – Edureka

Expert Systems – Artificial Intelligence Interview Questions – Edureka
Computer Vision is a field of Artificial Intelligence that is used to obtain information from images or multi-dimensional data. Machine Learning algorithms such as K-means is used for Image Segmentation, Support Vector Machine is used for Image Classification and so on.

Computer Vision And AI – Artificial Intelligence Interview Questions – Edureka
Therefore Computer Vision makes use of AI technologies to solve complex problems such as Object Detection, Image Processing, etc.
Therefore, it is better to choose supervised classification for image classification in terms of accuracy.
Image Smoothing is one of the best methods used for reducing noise by forcing pixels to be more like their neighbors, this reduces any distortions caused by contrasts.

Image Smoothing – Artificial Intelligence Interview Questions – Edureka
In Artificial Intelligence (AI), agents are entities that perceive their environment, make decisions, and take actions to achieve specific goals. Based on their characteristics and behavior, AI agents can be categorized into several types. Here are some common types of agents:
1. Simple Reflex Agents: These agents make decisions based solely on the current percept (input) without considering the history or future consequences. They have a direct mapping of inputs to actions and are suitable for environments with low complexity.
2. Model-Based Reflex Agents: These agents maintain an internal model of the environment and use it to make decisions based on the current percept. They consider the current situation along with some history to select appropriate actions.
3. Goal-Based Agents: Goal-based agents have a goal or objective that they strive to achieve. They take actions that move them closer to their goal, considering both the current percept and past experiences.
4. Utility-Based Agents: Utility-based agents evaluate the desirability of different states and actions using a utility function. They aim to maximize their expected utility, which represents the agent’s preferences over outcomes.
5. Learning Agents: Learning agents can improve their performance over time by learning from their experiences. They use past data to update their knowledge and decision-making processes.
6. Knowledge-Based Agents: Knowledge-based agents possess a knowledge base, which includes facts about the environment and rules for reasoning. They use this knowledge to make informed decisions and solve problems.
7. Exploration vs. Exploitation Agents: These agents balance between exploring new options to gain more information and exploiting the current knowledge to achieve their goals efficiently.
8. Reactive vs. Deliberative Agents: Reactive agents act quickly based on immediate stimuli and do not maintain a long-term plan. Deliberative agents, on the other hand, analyze the current situation and plan their actions based on their goals.
9. Multi-Agent Systems: Multi-agent systems involve multiple agents that interact with each other to achieve individual or collective goals. These agents can be collaborative or competitive.
These are some of the fundamental types of agents in AI. In practice, agents can be more sophisticated, combining various characteristics and employing advanced techniques such as machine learning and deep learning to achieve their objectives in complex environments.
“In the context of artificial intelligence(AI) and deep learning systems, game theory is essential to enable some of the key capabilities required in multi-agent environments in which different AI programs need to interact or compete in order to accomplish a goal.”

Game Theory And AI – Artificial Intelligence Interview Questions – Edureka
Minimax is a recursive algorithm used to select an optimal move for a player assuming that the other player is also playing optimally.
A game can be defined as a search problem with the following components:
Q23. What do you understand by reward maximisation?
Reward maximization is a key concept in reinforcement learning. An AI agent tries to take actions that give it the most rewards from its environment over time. The agent learns from input, which comes in the form of rewards or punishments, and changes how it acts to do its jobs better. The goal is to make agents that are smart enough to learn from experience and make choices that help them reach their long-term goals as quickly as possible.
Q24. What is Overfitting?
Overfitting is a term used to describe when a machine learning model becomes too specialized in learning from the training data. This happens when the model learns so much from the training data that it picks up noise and random changes instead of being able to adapt well to new, unknown data. An overfitted model does a great job with the training data, but it can’t make accurate guesses with new data, so its performance goes down.
Overfitting happens when a model is too hard to understand or has been taught for too many times. The model may remember the training data instead of learning the underlying patterns, which makes it bad at generalizing to new data.
Several AI methods, such as cross-validation, regularization, early stopping, and feature selection, are used to deal with overfitting. The goal is to find a good mix between how complicated the model is and how well it can be used to guess things about data that haven’t been seen yet.
If you want to fast forward your career in AIML, then take up these Artificial Intelligence Course by Edureka that offers LIVE instructor-led training, real-time projects, and certification.
There are two players involved in a game:
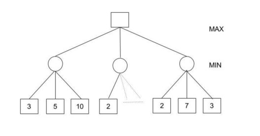
The following approach is taken for a Tic-Tac-Toe game using the Minimax algorithm:
Step 1: First, generate the entire game tree starting with the current position of the game all the way up to the terminal states.

Tic-Tac-Toe – Artificial Intelligence Interview Questions – Edureka
Step 2: Apply the utility function to get the utility values for all the terminal states.
Step 3: Determine the utilities of the higher nodes with the help of the utilities of the terminal nodes. For instance, in the diagram below, we have the utilities for the terminal states written in the squares.

Tic-Tac-Toe – Artificial Intelligence Interview Questions – Edureka
Let us calculate the utility for the left node(red) of the layer above the terminal:
MIN{3, 5, 10}, i.e. 3.
Therefore, the utility for the red node is 3.
Similarly, for the green node in the same layer:
MIN{2,2}, i.e. 2.

Tic-Tac-Toe – Artificial Intelligence Interview Questions – Edureka
Step 4: Calculate the utility values.
Step 5: Eventually, all the backed-up values reach to the root of the tree. At that point, MAX has to choose the highest value:
i.e. MAX{3,2} which is 3.
Therefore, the best opening move for MAX is the left node(or the red one).
To summarize,
Minimax Decision = MAX{MIN{3,5,10},MIN{2,2}}
= MAX{3,2}
= 3
Alpha-beta Pruning
If we apply alpha-beta pruning to a standard minimax algorithm, it returns the same move as the standard one, but it removes all the nodes that are possibly not affecting the final decision.

Alpha-beta Pruning – Artificial Intelligence Interview Questions – Edureka
In this case,
Minimax Decision = MAX{MIN{3,5,10}, MIN{2,a,b}, MIN{2,7,3}}
= MAX{3,c,2}
= 3
Hint: (MIN{2,a,b} would certainly be less than or equal to 2, i.e., c<=2 and hence MAX{3,c,2} has to be 3.)
Facebook uses DeepFace for face verification. It works on the face verification algorithm, structured by Artificial Intelligence (AI) techniques using neural network models.

Face Verification – Artificial Intelligence Interview Questions – Edureka
Here’s how face verification is done:
Input: Scan a wild form of photos with large complex data. This involves blurry images, images with high intensity and contrast.
Process: In modern face recognition, the process completes in 4 raw steps:
Output: Final result is a face representation, which is derived from a 9-layer deep neural net
Training Data: More than 4 million facial images of more than 4000 people
Result: Facebook can detect whether the two images represent the same person or not
Target Marketing involves breaking a market into segments & concentrating it on a few key segments consisting of the customers whose needs and desires most closely match your product.
It is the key to attracting new business, increasing your sales, and growing the company.
The beauty of target marketing is that by aiming your marketing efforts at specific groups of consumers it makes the promotion, pricing, and distribution of your products and/or services easier and more cost-effective.

Targeted Marketing – Artificial Intelligence Interview Questions – Edureka
Machine Learning in targeted marketing:

Fraud Detection Using AI – Artificial Intelligence Interview Questions – Edureka
The following approach is followed for detecting fraudulent activities:
Data Extraction: At this stage data is either collected through a survey or web scraping is performed. If you’re trying to detect credit card fraud, then information about the customer is collected. This includes transactional, shopping, personal details, etc.
Data Cleaning: At this stage, the redundant data must be removed. Any inconsistencies or missing values may lead to wrongful predictions, therefore such inconsistencies must be dealt with at this step.
Data Exploration & Analysis: This is the most important step in AI. Here you study the relationship between various predictor variables. For example, if a person has spent an unusual sum of money on a particular day, the chances of a fraudulent occurrence are very high. Such patterns must be detected and understood at this stage.
Building a Machine Learning model: There are many machine learning algorithms that can be used for detecting fraud. One such example is Logistic Regression, which is a classification algorithm. It can be used to classify events into 2 classes, namely, fraudulent and non-fraudulent.
Model Evaluation: Here, you basically test the efficiency of the machine learning model. If there is any room for improvement, then parameter tuning is performed. This improves the accuracy of the model. Our Prompt Engineering course with LLM explores the skills required to interact with generative AI systems.
This problem statement can be solved using the KNN algorithm, that will classify the applicant’s loan request into two classes:
K Nearest Neighbour is a Supervised Learning algorithm that classifies a new data point into the target class, depending on the features of its neighboring data points.

Bank Loan Approval Using AI – Artificial Intelligence Interview Questions – Edureka
The following steps can be carried out to predict whether a loan must be approved or not:
Data Extraction: At this stage data is either collected through a survey or web scraping is performed. Data about the customers must be collected. This includes their account balance, credit amount, age, occupation, loan records, etc. By using this data, we can predict whether or not to approve the loan of an applicant.
Data Cleaning: At this stage, the redundant variables must be removed. Some of these variables are not essential in predicting the loan of an applicant, for example, variables such as Telephone, Concurrent credits, etc. Such variables must be removed because they will only increase the complexity of the Machine Learning model.
Data Exploration & Analysis: This is the most important step in AI. Here you study the relationship between various predictor variables. For example, if a person has a history of unpaid loans, then the chances are that he might not get approval on his loan applicant. Such patterns must be detected and understood at this stage.
Building a Machine Learning model: There are n number of machine learning algorithms that can be used for predicting whether an applicant loan request is approved or not. One such example is the K-Nearest Neighbor, which is a classification and a regression algorithm. It will classify the applicant’s loan request into two classes, namely, Approved and Disapproved.
Model Evaluation: Here, you basically test the efficiency of the machine learning model. If there is any room for improvement, then parameter tuning is performed. This improves the accuracy of the model.
To understand spam detection, let’s take the example of Gmail. Gmail makes use of machine learning to filter out such spam messages from our inbox. These spam filters are used to classify emails into two classes, namely spam and non-spam emails.
Let’s understand how spam detection is done using machine learning:

Spam Detection Using AI – Artificial Intelligence Interview Questions – Edureka
This can be done by studying the past data and building a model that shows how the sales have varied over a period of time. Sales Forecasting is one of the most common applications of AI. Linear Regression is one of the best Machine Learning algorithms used for forecasting sales.
When both sales and time have a linear relationship, it is best to use a simple linear regression model.
Linear Regression is a method to predict dependent variable (Y) based on values of independent variables (X). It can be used for the cases where we want to predict some continuous quantity.
In this example, the dependent variable ‘Y’ represents the sales and the independent variable ‘X’ represents the time period. Since the sales vary over a period of time, sales is the dependent variable.

Forecasting Sales Using AI – Artificial Intelligence Interview Questions – Edureka
The following equation is used to represent a linear regression model:
Y=𝒃𝟎+𝒃𝟏 𝒙+ⅇ

Linear Regression – Artificial Intelligence Interview Questions – Edureka
Here,
Therefore, by using the Linear Regression model, wherein Y-axis represents the sales and X-axis denotes the time period, we can easily predict the sales for the upcoming months.
E-commerce websites like Amazon make use of Machine Learning to recommend products to their customers. The basic idea of this kind of recommendation comes from collaborative filtering. Collaborative filtering is the process of comparing users with similar shopping behaviors in order to recommend products to a new user with similar shopping behavior.

Recommendation System Using AI – Artificial Intelligence Interview Questions – Edureka
To better understand this, let’s look at an example. Let’s say a user A who is a sports enthusiast bought, pizza, pasta, and a coke. Now a couple of weeks later, another user B who rides a bicycle buys pizza and pasta. He does not buy the coke, but Amazon recommends a bottle of coke to user B since his shopping behaviors and his lifestyle is quite similar to user A. This is how collaborative filtering works.
Market basket analysis explains the combinations of products that frequently co-occur in transactions.
For example, if a person buys bread, there is a 40% chance that he might also buy butter. By understanding such correlations between items, companies can grow their businesses by giving relevant offers and discount codes on such items.
Market Basket Analysis is a well-known practice that is followed by almost every huge retailer in the market. The logic behind this is Machine Learning algorithms such as Association Rule Mining and Apriori algorithm:

Association Rule Mining – Artificial Intelligence Interview Questions – Edureka
For example, the above rule suggests that, if a person buys item A then he will also buy item B. In this manner the retailer can give a discount offer which states that on purchasing Item A and B, there will be a 30% off on item C. Such rules are generated using Machine Learning. These are then applied on items in order to increase sales and grow a business.

Reinforcement Learning – Artificial Intelligence Interview Questions – Edureka
In the above figure:
This problem can be solved by using the Q-Learning algorithm, which is a reinforcement learning algorithm used to solve reward based problems.
Let’s represent the rooms on a graph, each room as a node, and each door as a link, like so:

Reinforcement Learning – Artificial Intelligence Interview Questions – Edureka
Next step is to associate a reward value to each door:

Reinforcement Learning – Artificial Intelligence Interview Questions – Edureka
Now let’s try to understand how Q-Learning can be used to solve this problem. The terminology in Q-Learning includes the terms state and action:
In the figure, a state is depicted as a node, while “action” is represented by the arrows. Suppose, the Agent traverses from room 2 to room5, then the following path is taken:
Next, we can put the state diagram and the instant reward values into a reward table or a matrix R, like so:

Reinforcement Learning – Artificial Intelligence Interview Questions – Edureka
The next step is to add another matrix Q, representing the memory of what the agent has learned through experience.
The formula to calculate the Q matrix:
Q(state, action) = R(state, action) + Gamma * Max [Q(next state, all actions)]
Here, Q(state, action) and R(state, action) represent the state and action in the Reward matrix R and the Memory matrix Q.
Note: The Gamma parameter has a range of 0 to 1 (0 <= Gamma > 1).
Finally, by following the below steps, the agent will reach room 5 by taking the most optimal path:

Reinforcement Learning – Artificial Intelligence Interview Questions – Edureka
AI can be used to implement image processing and classification techniques for extraction and classification of leaf diseases.

Image Processing Using AI – Artificial Intelligence Interview Questions – Edureka
This sounds complex, let me break it down into steps:
Image Acquisition: The sample images are collected and stored as an input database.
Image Pre-processing: Image pre-processing includes the following:
Image Segmentation: It is the process of partitioning a digital image into multiple segments so that image analysis becomes easier. Segmentation is based on image features such as color, texture. A popular Machine Learning method used for segmentation is the K-means clustering algorithm.
Feature Extraction: This is done to extract information that can be used to find the significance of a given sample. The Haar Wavelet transform can be used for texture analysis and the computations can be done by using Gray-Level Co-Occurrence Matrix.
Classification: Finally, Linear Support Vector Machine is used for classification of leaf disease. SVM is a binary classifier which uses a hyperplane called the decision boundary between two classes. This results in the formation of two classes:
Therefore, AI can be used in Computer Vision to classify and detect disease by studying and processing images. This is one of the most profound applications of AI.
Q13. What is the future of Artificial Intelligence?
The future of Artificial Intelligence (AI) holds immense potential and is expected to have a transformative impact on various aspects of society and industry. While we cannot predict the future with certainty, there are several trends and possibilities that experts foresee in the field of AI:
While the potential benefits of AI are substantial, there are also challenges, including ethical considerations, job displacement, and cybersecurity risks. Striking a balance between leveraging AI’s capabilities for societal good while addressing its potential negative implications will be crucial.
Overall, the future of AI is full of promise and possibilities. It will continue to shape and redefine various aspects of our lives, driving innovation, improving efficiency, and offering solutions to complex challenges. As AI technology progresses, responsible and ethical development will be paramount to ensuring a positive and inclusive future with AI as a force for good.
Q14. What are the misconceptions about Artificial Intelligence?
Sure, let’s go over some common misconceptions about Artificial Intelligence (AI):
It’s essential to dispel these misconceptions and have accurate discussions about AI’s capabilities and limitations. Understanding AI’s potential and its ethical implications is crucial as it becomes more integrated into various aspects of society and industry. Responsible and informed use of AI can lead to its positive impact and better decision-making in the future.
Q15. What is the difference between a strong AI and a weak AI?
The difference between strong AI and weak AI lies in their level of intelligence and capabilities:
Strong AI, also known as Artificial General Intelligence (AGI), refers to AI systems that have human-like intelligence and are capable of understanding, learning, and performing any intellectual task that a human can do. These AI systems have the ability to reason, think abstractly, generalize knowledge across different domains, and exhibit self-awareness. Strong AI would possess a level of consciousness and general problem-solving abilities similar to that of a human.
At present, Strong AI does not exist, and achieving it is still a subject of ongoing research and speculation. Developing Strong AI raises significant ethical and societal implications, as it would potentially have profound effects on human society.
Weak AI, also known as Artificial Narrow Intelligence (ANI), refers to AI systems that are designed and trained for a specific task or a narrow range of tasks. These AI systems excel at their specialized tasks and can outperform humans in those specific areas, but they lack the broader cognitive abilities and general intelligence of humans.
Most of the AI applications in use today, such as voice assistants, image recognition systems, recommendation engines, and chatbots, are examples of Weak AI. These systems are highly valuable for their specific purposes, but they are limited in scope and cannot perform tasks beyond their pre-defined domains.
Therefore, the key difference is that Strong AI aims to replicate human-level general intelligence, whereas Weak AI is designed to excel at specific tasks without possessing human-like cognition or consciousness. Strong AI remains a theoretical goal, while Weak AI is the practical reality that we currently use in various applications.
So these are the most frequently asked questions in an Artificial Intelligence Interview. However, if you wish to brush up more on your knowledge, you can go through these blogs:
With this, we come to an end of this blog. I hope these Artificial Intelligence Interview Questions will help you ace your AI Interview.
If you’re looking to learn more about AI, Edureka provides a specially curated Machine Learning Engineer Master Program that will make you proficient in techniques like Supervised Learning, Unsupervised Learning, and Natural Language Processing. It includes training on the latest advancements and technical approaches in Artificial Intelligence & Machine Learning such as Deep Learning, Graphical Models and Reinforcement Learning. Also, Join our cutting-edge HCI course and unlock the door to a captivating world of possibilities.
Or If you want to learn how to design intuitive interfaces that captivate users? Join our cutting-edge Human-Computer Interaction (HCI) Course and take your design skills to the next level!
edureka.co